Dans Pokémon, le Pokedex recense, telle une encyclopédie, les informations à propos de chaque Pokémon. On y trouve par exemple la taille, le poids, son type et une courte description.
L’un des trucs intéressants à calculer, c’est la densité des Pokémons : de relier leur masse à leur taille. On peut aussi prendre quelques Pokémons basés sur des animaux réels et en comparer les mensurations.
D’autres pokémon ont des particularités dont la valeur est chiffrée : température corporelle, vitesse de vol, tension électrique. On va regarder ça de plus près.

Vous allez voir qu’on a quelques surprises !
Les quatre premières analyses concernent le poids et la taille des Pokémon, les suivants sont plus exotiques !
Onix

Pour Onix (image ci-dessus) comme pour la majorité des Pokémons, le poids est largement sous-estimé.
Selon le Pokédex, Ce pokémon est un serpent de roche qui mesure 8,80 mètres et pèse 220 kilogrammes (son IMC serait alors de 2,85, ce qui est très faible, je pense même pour un pokémon).
On peut modéliser Onix sous la forme d’une succession de sphères rocheuses de dimension décroissante, partant de la tête.
La tête est alors une sphère de 1,56 mètres de diamètre, ce qui concorde avec les images qu’on a d’Onix avec Pierre (son dresseur), dans la série. Le volume de sa tête est donc de 2,00 m³.
On applique ceci pour les 14 autres rochers de son corps (mesurés à l’échelle) et on obtient un volume total de : 7,69 m³. Si Onix était du granite (densité ~2,7), il ne devrait pas peser 220 kg, mais plutôt 20,7 tonnes.
L’erreur du Pokedex ne serait pas d’un petit pourcentage excusable, mais d’un facteur 100.
On m’a fait remarquer une fois qu’Onix pouvait peser 220 kg… à condition qu’il soit creux ! C’est une remarque très juste qui m’amène à calculer l’épaisseur de la peau d’Onix dans le cas où il serait rempli d’air.
Toujours avec l’approximation des sphères, la surface corporelle d’Onix serait de 39,4 mètres carré et l’épaisseur de sa peau serait alors de seulement… 2,1 mm.
Cela ne fait pas beaucoup. Pas assez en fait : le granite est solide mais jusqu’à une certaine limite seulement : il finira par s’effondrer sous son propre poids. On peut également supposer qu’il soit rempli de quelque chose de plus exotique comme du polystyrène ou mieux, de l’aérogel.
Mais les maths ne trompent pas et il faut accepter qu’Onix est un pokémon creux, et son épaisseur est de 2,1 millimètres.
Steelix

Steelix (image ci-dessus) est l’évolution d’Onix. De la roche on passe à l’acier et ses dimensions sont 9,20 m pour 400 kg.
On applique le même précédé : la masse de Steelix en vrai serait plutôt de 152 tonnes !
En suivant le même raisonnement, la seule façon de concilier sa faible masse avec la grande taille de Steelix est de considérer qu’il soit creux, et dans ce cas, l’épaisseur de la tôle de Steelix serait de 1,0 mm.
C’est encore plus fin qu’Onix.
Ici, la peau de Steelix ne peut être que de l’acier trempé : c’est la seule façon pour l’acier de passer d’un métal souple et ductile à un matériau résistant et dur.
Les seuls endroits naturels impliquant une température suffisante pour chauffer l’acier sont les volcans. Il faut cependant aussi être proche d’un point d’eau ou de glace pour le tremper. Perso, je pense à l’Islande : on y trouve des volcans aux noms ĩmpяønonçâβlεs, de l’eau, de la neige et de la glace en quantité importante ! Steelix serait donc né en Islande ?
Dans tous les cas, avec ces dimensions et ce poids, Steelix comme Onix flottent sur l’eau, ce qui est plutôt étonnant, non ?
Wailord

Flotter est assez pratique quand on est un rocher ou un bout d’acier… Mais pas quand on est un poisson !
Et pourtant, le plus gros pokémon du jeu, Wailord (image ci-dessus) qui fait 14,5 mètres de long ne pèse que 398 kilogrammes !
Ce pokémon étant plutôt de forme ellipsoïdale, son volume est calculé comme tel : ses 3 rayons sont 7,25 mètres, 1,93 mètre et 4,32 mètres et le volume obtenu par le calcul est de 253 mètres cubes !
La masse volumique de Wailord est alors de 1,57 kg/m³ !
Wailord est donc à peine plus lourd que l’air (qui fait 1,20 kg/m³). Ce pokémon est plus léger que beaucoup de gaz, à commencer par le dioxygène, le dioxyde de carbone ou l’argon (tous les trois présents dans l’air).
Dans les faits, car il ne peut en être autrement, je pense que Wailord se remplit d’eau afin de s’immerger. Mais dans ce cas, pourquoi le pokédex ne prend pas en compte sa masse d’eau ?
Galopa

Ce Pokémon cheval est décrit par le Pokédex comme mesurant 1,70 mètres et pesant 85 kg. Ceci est également très étrange : en vrai, un cheval pèse environ 500 kg, et jusqu’à 1 200 kg pour les plus gros.
Dans tous les cas, un vrai cheval de 1,70 mètres ne pèsera jamais 85 kg : c’est beaucoup trop faible.
Je n’ai pas trop d’idée comment on pourrait expliquer ça. Peut-être que Galopa est creux, là aussi ? Peut-être qu’il est rempli d’hydrogène, un gaz inflammable et qui pourrait alors expliquer le type « feu » du pokémon ?
Voltali et sa tension électrique

Voltali (image ci-dessus), selon le Pokédex, peut envoyer des décharges d’électricité statique de 10 000 V.
Comme je l’avais expliqué pour Pikachu et Raichu, 10 000 V peut sembler beaucoup, mais en fait ce n’est rien : ce n’est même pas dangereux ! Les décharges d’électricité statique qu’on reçoit en été font parfois beaucoup plus que ça !
Avec cette tension électrique, Voltali ne sera dangereux qui si vous entrez en contact avec lui et les seuls éclairs que ce Pokémon peut émettre ne seront que des étincelles de 3 mm !
En effet, 10 000 V, ce n’est pas assez pour faire un éclair plus grand. Dans l’air, il faut en fait atteindre des tensions énormes pour générer des éclairs : ceci est très pratique pour l’électricité de la vie de tous les jours (ça évite que le courant du secteur nous secoue dès qu’on s’approche d’un mur), mais si un pokémon veut envoyer un éclair sur 10 m, il devra générer un éclair d’au moins 360 000 000 V.
Si l’air est humide, chargé en électricité statique voire un peu ionisé (conditions généralement réunies lors d’un orage) alors la tension nécessaire pour créer un éclair diminue, mais on reste quand même dans l’ordre de grandeur du million de volts.
Pyroli, Volcaropod et la température

Pyroli et Volcaropod (image ci-dessus) sont deux Pokémon de types feu. Le Pokédex indique que leur corps peut atteindre une température de 1 700°C et de 10 000°C respectivement. Ceci est chaud.
Pour Pyroli, la température est plus chaude que celle de l’acier fondu et comme ce dernier, il devrait rayonner d’une lueur jaune clair. De plus, à 10 mètres, la chaleur émise par ce rayonnement serait si intense qu’il ferait aussi chaud qu’une après-midi en plein soleil au mois de juillet en période caniculaire.
Mais il y a encore pire…
Il y a… Volcaropod !
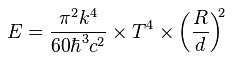
C’est expliqué dans cette vidéo de Vsauce3, mais j’ai refait le calcul : Dexter dit que ce pokémon a une température de 10 000°C, ce qui n’est pas loin du double de la température de surface du Soleil.
Pour ce pokémon, une équation bien choisie :

… et on apprend que ce Pokémon, à 10 mètres, éclaire environ 1000 fois plus que le soleil !
Il faudrait carrément se mettre à 300 mètres pour qu’il ne chauffe plus qu’autant que le soleil durant le jour le plus chaud de l’année en plein désert.
La nuit, mettez ce pokémon en haut de la tour Eiffel et tout le Champ de Mars est chauffé et éclairé comme en plein été en plein jour!
Par ailleurs, le rayonnement de ce pokémon se fait en grande partie dans le rayonnement UV, donc même à 300 mètres vous brûleriez votre peau en quelques minutes à un point irréversible qu’aucune crème solaire ne peut prévenir.
Dans un rayon de 100 mètres autour de lui, toute la végétation serait brûlée instantanément et dans un rayon de 200 mètres, la végétation se dessécherait à vue d’œil. En se rapprochant du pokémon, les pierres et le sable commenceraient à fondre également.
Si vous tentez de l’approcher encore plus, sachez que des lunettes de protection ou carrément une combinaison de pompier ou d’astronaute ne suffiront pas : l’ensemble fondrait avant de se vaporiser et vous avec.
Non vraiment, 10 000°C c’est vraiment chaud, et les effets sont assez dramatiques. Si on avait une épingle maintenue (d’une façon ou d’une autre) à la température du centre du Soleil, alors tout serait instantanément vaporisé dans un rayon de 1000 km.
Dracolosse et sa vitesse de vol

Roucarnage peut voler à Mach 2, mais Dracolosse (image ci-dessus) peut faire le tour du monde en 16 heures, ce qui fait légèrement plus : Mach 2,04. Ceci correspond à une vitesse de 2 500 km/h et ça fait de Dracollosse le pokémon le plus rapide.
Voler à cette vitesse a quelques conséquences : le mur du son et un échauffement à cause de la vitesse en sont deux.
Quand on vole à la vitesse du son (Mach 1), alors le son ne peut plus s’échapper : on le rattrape et il s’accumule devant nous : c’est le mur du son. Un observateur recevra tout ce son d’un seul coup sous la forme d’un « bang » supersonique.
Cette onde de choc est d’autant plus importante que l’objet est gros et que l’on se trouve proche de la source.
Un pokémon de 2,20 mètres volant à Mach 2 produira un bang supersonique, mais on ne pourra le sentir que si on se trouve à moins d’une petite centaine de mètres.
Le mur du son peut être puissant : les dégâts provoqués par la météorite de Tcheliabinsk en 2013 n’étaient ainsi dus qu’à ça : la plupart des débris rocheux ont en fait brûlé à leur entrée dans l’atmosphère.
Parlant de brûler dans l’atmosphère, justement : voler à Mach 2 échauffe notre dragon.
La température de l’air est liée à la vitesse d’entrechoquement des molécules : à 20°C, elle est d’environ 1600 km/h.
Volant à Mach 2, toute la masse d’air nous heurte à 2 500 km/h. Considérant cela, la température ressentie par Dracolosse est de 540°C ! Je ne tiens cependant pas compte des pertes par refroidissement, mais ça ne devrait pas être significatif si le Pokemon vole sur une longue durée : il resterait quoi qu’il en soit très chaud.
Pour un exemple concret, on peut prendre le Concorde. Le Concorde volait à Mach 1,2 à 10 km d’altitude, où il fait dans les −40°C. Mon calcul donne une température de 140°C, ce qui est proche de la valeur réelle de l’échauffement des ailes de l’avion : entre 100 et 150°C.
Ptéra, Cabuto, Amonita et les pokémon fossiles

Dans le jeu et la série, les Pokémon fossiles sont des Pokémon ressuscités à partir de fossiles. L’idée de pouvoir faire tout ça n’est pas nouveau, même si ça m’a toujours semblé une mauvaise idée : quelqu’un se souvient de Jurassic Park ? Je crois bien qu’il y a eu des morts…
Ça reste de la fiction : utiliser un fossile pour régénérer un animal disparu, ça ne fonctionne pas.
Sur Terre, des fossiles d’animaux disparus, on en a plein. Et pour cause : plus de 99% des espèces qui ont foulé cette planète sont éteintes. Ça signifie que la totalité de la biodiversité (animale et végétale) actuelle représente moins de 1% de toutes les espèces ayant vécu sur notre planète.
Revenons aux fossiles : ce sont des restes d’être vivants qui sont devenus de la roche. Quand l’animal (ou un végétal) meurt, le corps finit par se décomposer, et ce qui n’est pas dévoré par les bactéries finit par être fossilisé : les minéraux finissent par remplacer, molécule par molécule, les restes de l’être vivant : le cadavre de l’animal se transforme en roche.
Au cours de la fossilisation, les tissus sont dégradés et l’’ADN aussi : un fossile ne contient donc pas d’ADN et on ne peut pas régénérer un T-Rex à partir de son fossile.
Il est possible de régénérer une espèce éteinte si on possède son ADN. C’est ce que des chercheurs ont réussi à faire pour une petite fleur éteinte depuis 13 000 ans. Une graine a été retrouvée intacte dans l’estomac d’un écureuil pris dans le sol sibérien gelé depuis quelques 30 000 ans. Ici, l’ADN n’a pas été altéré grâce au pouvoir conservateur de la glace.
Mais… même si de l’ADN d’un T-Rex avait pu être préservé dans de la glace durant quelques milliers d’années, il aurait fini par se décomposer tout de même : l’ADN reste une molécule pas très stable, et il est quasiment impossible qu’elle subsiste durant des dizaines ou des centaines de millions d’années.
La seule espèce vraiment notable que la science pourrait tenter de ressusciter, c’est le mammouth : il s’est éteint il n’y a pas si longtemps (seulement 15 000 ans), en pleine ère glacière. Des traces d’ADN de mammouth ont déjà été retrouvées et le génome du mammouth est séquencé à environ 80%. Mais pour le reste, rien de bien spectaculaire, à mon avis.
Regice

Selon le Pokédex, Regice (image ci-dessus) est un pokémon de glace qui contrôle un air glacé à −200°C. C’est froid. C’est trop froid en fait : à cette température, l’air devient liquide : le dioxygène se liquéfie à −183°C et le diazote à −195°C. L’argon et le dioxyde de carbone, respectivement les 3e et 4e gaz les plus présents dans l’air, sont même solides à cette température.
Ce Pokémon liquéfie donc l’air à son contact. Or, la liquéfaction est une réaction exothermique : l’air libère son énergie pour devenir liquide, du coup, c’est plutôt un air chaud qui devrait entourer ce Pokémon au moment où il baisse la température autour de lui.
Regice est donc composé de gaz solidifié sur qui se condense de l’air. Au dessus de lui cependant, se trouve un courant d’air plus chaud : toute la chaleur qu’il capte dans l’air autour de lui est expulsé et il ne « garde » que le froid.
Celebi

Ce Pokémon légendaire voyage dans le temps et apporte prospérité à la nature par là où il passe. Il est dit qu’il ne voyage qu’à des époques où règne la paix.
Si on regarde l’histoire sur les 3 400 dernières années, l’humanité a été en paix durant… 268 ans. Les 3 138 autres années étaient des époques de guerre (source).
Pas étonnant qu’il soit si rare, donc…
Par ailleurs, pour ce qui est du voyage dans le temps, je ferais un article dédié une autre fois : pokémon est loin d’être la seule série où ce phénomène intervient ;).